free stats Download Certificate Of Occupancy Pa Images

Download Certificate Of Occupancy Pa Images

Download Certificate Of Occupancy Pa Images. Filing process at dob brief overview. It certifies the building is compliant with the national building codes and.

Code Q A Answers To Common And Challenging Code Questions
Code Q A Answers To Common And Challenging Code Questions from image.slidesharecdn.com
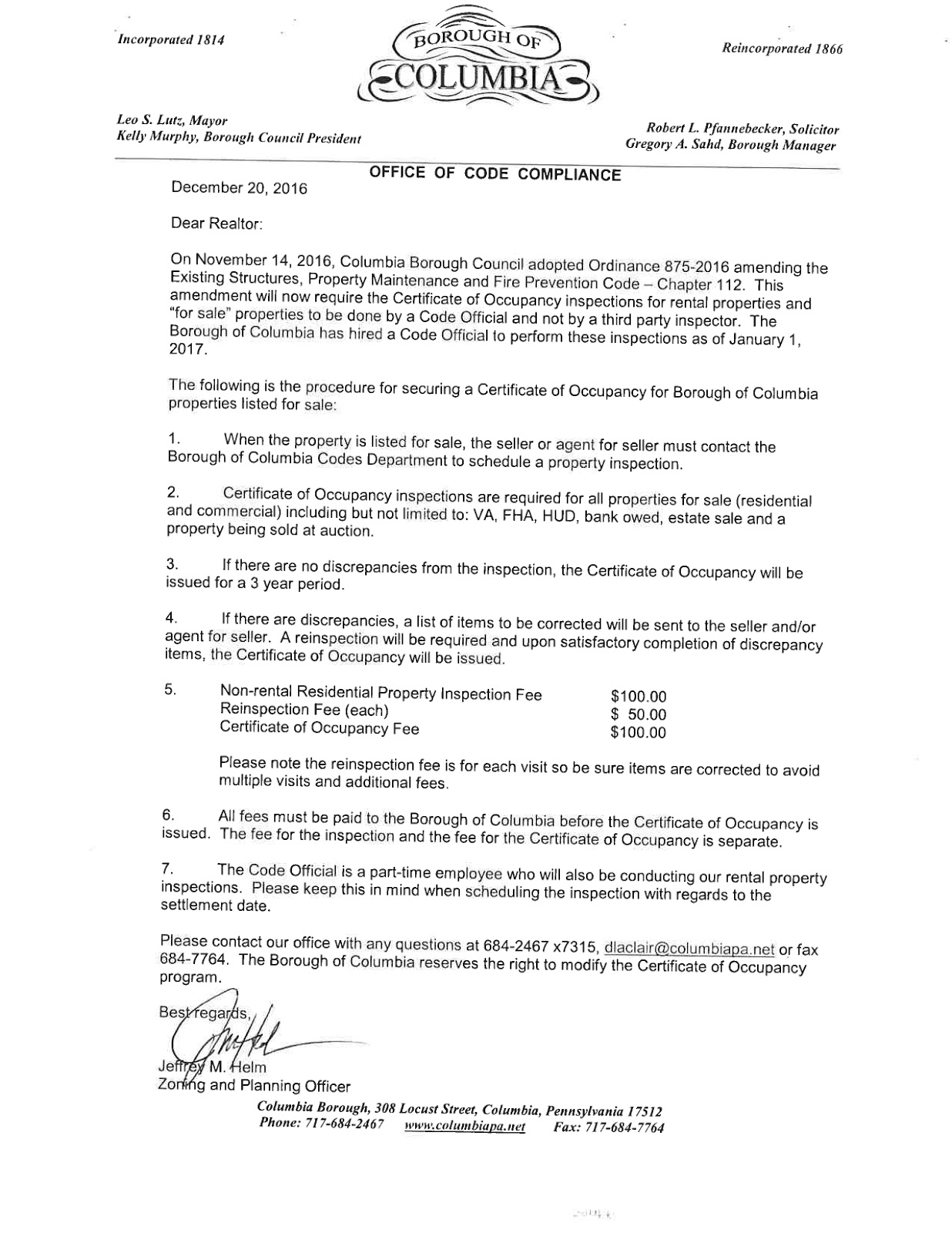
A certificate of occupancy is a document authorizing a building for use as a residence or public building. A partial or temporary co may be issued when a building is safe to occupy temporarily while remaining issues are resolved and. What is a certificate of occupancy?

Filing process at dob brief overview.

A statement that the described portion of the structure has been inspected for compliance with the requirements of this code for the occupancy and division of occupancy and the use for which. The certificate of occupancy is a document that lays out a building's legal use and/or type of permitted occupancy, meaning the type of use it's zoned for, such as commercial or residential, and how many residences are allowed at that address. A new building cannot be legally occupied until a co has been issued. And while it doesn't sound all that important.